Location: Home >> Detail
TOTAL VIEWS
J Sustain Res. 2025;7(3):e250044. https://doi.org/10.20900/jsr20250044
1 Research Center in Economics & Business Sciences (CICEE), Universidade Autónoma de Lisboa, Rua Sta. Marta 47, 5 Andar, Lisboa 1150-293, Portugal
2 Higher Institute of Business and Tourism Sciences (ISCET), Rua de Cedofeita, 285, 4050-180 Porto, Portugal
3 Department of Business Economics (ADO), Applied Economics II, and Fundamentals of Economic Analysis, Economics and Business School, Rey Juan Carlos University, Paseo de Artillero s/n, Madrid 28033, Spain
4 Business School, ESIC Business & Marketing School, Juan XXIII nº12, Pozuelo de Alarcón, Madrid 28223, Spain
* Correspondence: Antonio Sánchez-Bayón
The fashion industry’s environmental crisis demands urgent shifts toward sustainable consumption models, such as capsule wardrobes. While prior research has examined ethical fashion adoption through conventional behavioral lenses, this study innovatively integrates heterodox economic theories, including the Theory of Subjective Value (TSV) and Bounded Rationality, with the Theory of Reasoned Action (TRA) to analyze discrepancies between attitudes and actions. Using a sample of 776 Portuguese consumers, we examine a mediation model where attitude links personal shopping values, fashion involvement, and socially responsible behavior to adoption intentions. Results reveal socially responsible behavior’s strong indirect effect via attitude, while personal shopping values and fashion involvement show paradoxical relationships, underscoring cognitive and market barriers. Gender and generational analyses highlight women’s higher sustainability engagement and Generation Z’s intention-action gap. The study advances sustainable fashion literature by exposing how subjective valuations and structural constraints interact, calling for coordinated stakeholder interventions beyond individual behavior change.
The capsule wardrobe concept emerges as a way of tackling the problem of excessive waste resulting from fast fashion consumption, which is caused by mass-produced, low-priced clothing with very short production cycles [1]. It is about promoting the selection of good quality and durable clothing items to be combined in a versatile and creative way, thus minimizing consumerism and waste and, consequently, helping the consumer to reduce their environmental impact [2–4] and to promote wellbeing economics [5,6]. The capsule wardrobe—a minimalist approach emphasizing versatile, durable clothing—has emerged as a potential solution [2,3]. However, consumer adoption remains inconsistent, with gaps between sustainability attitudes and actual behavior [7]. While prior research has explored sustainable fashion adoption through conventional behavioral lenses [8,9], critical gaps persist in understanding how subjective consumer values and cognitive constraints influence decision-making, particularly in transitioning from intention to action. Specifically, the literature related to fashion consumption suggests that adherence to the capsule wardrobe concept may be associated with consumers’ behavior [3,10], but without special attention to subjective values (under the Austrian Economics approach) and their socio-demographic characteristics, as well as with their attitude and consumption behavior, which is more or less socially and environmentally responsible [10]. The essential motivation of this study is to explore the attitude and intention of Portuguese clothing consumers regarding adopting a capsule wardrobe to contribute to more ethical and responsible consumption and promote sustainable development (beyond the mainstream homo economicus [11,12]). Specifically, the underlying research questions are How attitude toward capsule wardrobes mediates the influence of personal shopping values, fashion involvement, and ethical concerns on adoption intentions, and What is the role of sociodemographic factors (e.g., generational and gender differences) in shaping these relationships.
Our results reveal that while socially responsible behavior strongly predicts intention (mediated by attitude), fashion involvement and hedonic shopping values exhibit counterintuitive effects, highlighting tensions between sustainability goals and rooted consumption habits. These insights challenge mainstream assumptions of rational consumer behavior and underscore the need for systemic interventions targeting both individual decision-making and industry practices. The originality of our approach mostly relies on bridging heterodox and behavioral theories, contributing to advance scholarly discourse on sustainable consumption while providing actionable insights for policymakers, marketers, and producers. Specifically, we demonstrate how stakeholder accountability (from brands to policymakers) must address not just consumer attitudes but also the structural and cognitive barriers that perpetuate unsustainable fashion cycles [13].
The fashion industry, the second most polluting in the world, faces complex challenges related to sustainability arising from its heterogeneity and global reach [1], and thus, it has a considerable potential for change [14]. The sector has a responsibility to adopt more sustainable practices in the design and production of its products, invest in the circular economy, improve manufacturing processes, and find ways to collect used clothing for recycling. However, consumers also have an important role: When purchasing clothing items, they exert pressure on the environment, society, and the economy, as they are the ones who decide what, when, and how much to buy. Consequently, they have greater or lesser effects, as clothing production involves massive amounts of raw materials and energy, and its end-of-life disposal generates residue and waste that negatively impacts the environment.
For this heterodox analysis (beyond the mainstream point on homo economicus, based on full rationality and predictive action [11,12]), we have combined several theoretical frameworks: From the Theory of Reasoned Action—TRA [15], balanced with the Bounded rationality theory—BRT Behavioral Economics [16,17], and the TSV and Limited reasoned action theory—LRAT Austrian Economics [18]. TRA posits that behavioral intentions stem from attitudes and subjective norms, assuming rational decision-making [11,15]. In contrast, BRT challenges this ideal, arguing that cognitive limits and environmental constraints lead to satisfying rather than optimizing choices [16,17]. TSV, rooted in Austrian economics, asserts that value is individually determined, not intrinsic, explaining why consumers prioritize personal meaning over objective utility in sustainable fashion [18]. Finally, LRAT bridges these perspectives, acknowledging that intentions (TRA) are mediated by cognitive bounds (BRT) and subjective valuations (TSV), particularly in complex decisions like ethical consumption [11,16–18]. Together, these theories provide a robust framework for analyzing the attitude-behavior gap in capsule wardrobe adoption. The hypotheses put forward consider these theories, as described in the following subsections.
Capsule Wardrobe and Personal Shopping ValueConsumers evaluate clothing purchases through hedonic (emotional) and utilitarian (functional) values [19,20].
Personal shopping value (PSV) is the utility perceived by the consumer who evaluates the usefulness of a product in terms of the price paid [21]. More recent literature shows a greater focus on the shopping experience [22,23], which consists of the perceived emotional and psychological value acquired in the purchase, translating the holistic perception to the utilitarian approach [19,20]; with special evidence in digital economy [24–28]. In the context of clothing purchases, the consumer focuses on processing information and evaluating the expected value, as purchases are useful for acquiring styles and trends and helping build an adequate wardrobe. Decision-making comes from processing information in two ways: the deliberate and reflective purchase action and the conscious or automatic purchase action. In deliberate decision-making, the consumer is influenced by motivation, awareness, intention to wear clothing, and the ability to stop wearing it voluntarily; conscious buying is influenced by previous experiences and environmental stimuli [29]. Consumers tend to evaluate clothing purchases through hedonic (emotional) and utilitarian (functional) values [20,30]. Schiaroli et al. [13] they offer a current literature review on the topic, but under the mainstream point, without enough attention to heterodox analysis and the relevance of personal shopping values and the impact of socio-demographic characteristics. While mainstream research assumes rational decision-making [11,16–18], heterodox economics [12] emphasizes subjective valuations, as individuals prioritize personal meaning over objective utility. This explains why sustainable fashion adoption varies despite similar environmental concerns [29]. Consumers with strong utilitarian values may perceive capsule wardrobes as practical [8], but hedonic shoppers may resist due to emotional ties to fast fashion [30]. TRA suggests intention depends on attitude [15], while BRT [16,17] acknowledges cognitive limits in sustainable choices. For this work, the hedonic and utilitarian values of consumers are considered as personal shopping values, with impact in the consumer’s behavior towards the capsule wardrobe. Therefore, we posit:
Hypothesis 1 (H1). The attitude toward the capsule wardrobe (ATT) mediates the relationship between personal shopping value and the intention to adopt a capsule wardrobe.
Fashion InvolvementInvolvement is an essential factor for clothing fashion, as it represents a symbolic consumption area for the consumer [31]. Fashion Involvement refers to the degree to which consumers ponder a particular purchase decision and perceive it as important [32]. Fashion-conscious consumers often prioritize trends over sustainability [31]; Fashion consumers with a high level of development tend to be early adopters of innovative fashion offers, disseminate information about fashion, be very knowledgeable, and monitor fashion, trends, and styles [32]. Involvement with fashion explains consumer behavior, namely attitude formation [33,34]; for example, the intention to purchase luxury fashion products is influenced by consumers’ engagement with fashion [30,35,36]. However, involvement does not always translate to responsible consumption, as social validation competes with ethical intentions [30]. LRAT [18] clarifies this gap: even motivated consumers face structural barriers (e.g., limited sustainable options). High-involvement consumers may appreciate capsule wardrobes for their curated aesthetics [3], but fast fashion’s omnipresence [1] can override intentions [29]. Therefore:
Hypothesis 2 (H2). The ATT mediates the relationship between fashion involvement and the intention to adopt a capsule wardrobe.
Socially Responsible Consumer BehaviorMohr et al. [37] argue that a consumer with socially responsible behavior bases the acquisition, use, and disposal of products on the desire to minimize or eliminate any harmful effects and maximize the consequent positive long-term impact on society. Among the main reasons fashion consumers value sustainable consumption is their focus on environmental impact, which leads them to look for alternatives that minimize the damage caused to the planet without compromising the style they wear [38]. One way to do this is, for example, to opt for slow fashion, designed and produced to incorporate high quality, durable and sustainable materials, which is based on the idea that production should only satisfy demand, taking priority into account environmental and social [9]. In the purchasing stage, the socially responsible consumer will seek to buy higher quality products, consume ethically, and buy second-hand clothing, among other environmentally conservative actions. In a more radical approach, one could simply reduce consumption and increase reuse—for example, by repairing clothing items rather than discarding them [39]. The capsule wardrobe concept offers an alternative, equally involving the research, purchase, use, and disposal of items, in which the consumer is led to make several decisions, more or less guided by ethical concerns and sustainability [8,39].
Ethical consumers prioritize minimizing environmental harm [37] However, TSV & LRAT [11,16-18] suggests subjective perceptions of sustainability (not just awareness) drive action. Recent studies confirm that eco-conscious attitudes predict capsule wardrobe interest. TRA posits that attitude shapes intention, but BRT notes that external factors (e.g., price, availability) limit follow-through.
Hypothesis 3 (H3). The ATT mediates the relationship between socially responsible consumer behavior and the intention to adopt a capsule wardrobe.
Attitude toward the Capsule WardrobeConsumers with a positive attitude pay more attention and try to perceive and accept positive attributes when purchasing a product [40]. In this sense, the ATT will play an important role in consumer behavior regarding adopting this concept, as shown by a study by Bang and Su [8]. The relationship between attitude and behavioral intention forms the cornerstone of the TRA [15], which posits that favorable attitudes toward a behavior increase the likelihood of its adoption. Applied to capsule wardrobes, consumers who perceive this practice as personally beneficial (e.g., simplifying decisions, reducing waste) and socially desirable (e.g., aligning with sustainability norms) should demonstrate stronger adoption intentions [8]. However, BRT [16,17] tempers this assumption, noting that even positive attitudes may not translate to action due to cognitive limitations (e.g., difficulty curating minimalist collections) or environmental constraints (e.g., fast fashion’s affordability and accessibility). Also, consumers with positive attitudes may still defer action due to habit strength [41] or perceived effort [29]. TSV [18] further refines this relationship by emphasizing that attitudes are shaped by individual valuations rather than objective utility; for instance, a consumer might value a capsule wardrobe’s environmental benefits (high subjective value) but resist adoption if they perceive it as limiting self-expression (competing subjective value). Put in other words, subjective valuations of sustainability vs. convenience create heterogeneity in attitude-intention linkages [27,28,42]. This tension explains why attitude-intention correlations vary across demographics [43]. Hypothesis 4 (H4) builds on these theoretical insights.
Hypothesis 4 (H4). The ATT significantly impacts the intention to adopt it.
Influence of Sociodemographic Characteristics on the Adoption of the Capsule WardrobeIn the literature, several studies sustain that generational and gender differences shape sustainable consumption [44,45]. Specifically, different authors recognize that gender, occupation, and culture can generate critical behavioral differences related to the capsule wardrobe e.g., [46,47]. Chen et al. [48] state that women are more likely to be involved in ethical consumption, acquire information about ethical consumption from other people (more about fashion), and feel good about being an ethical consumer. A quantitative study by De Wagenaar et al. [49] with more than 500 consumers concluded that women owned more pieces than men in all categories of the study (total number of clothing items, including unused and second-hand items); in the same study, consumers over 30 owned more items of clothing, while those aged under 20 and over 51 owned more unused items. A study by DeLong and Bang [43] concluded that boomer women were looking for more mature and timeless pieces of clothing but that the same was true of younger generations [39], as both were influenced by an eco-conscious culture (which leads to the consumption of apparel more sustainable). A study by O’Cass [31] concluded that women score significantly higher than men in terms of involvement with clothing fashion; the same happens with young consumers compared to older ones. Pauluzzo and Mason [45] address Generation Y consumers, or Millennials, who say they consume the most fast fashion products (still accepted as the social norm), discarding the most frequently used clothing without using sustainable methods to do so; however, they recognize that Millennials are aware of the impact of clothing on society and the environment and are willing to pay more for sustainable products, which raises perplexity, as these attitudes and intentions are not reflected in actual behavior. In addition, younger consumers typically prioritize constant change and give in to impulse purchases [50]. Also, Gen Z diverges from traditional minimalist ideals that emphasize curated and meaningful consumption, thus adopting a minimalist approach when considering purchasing new clothing [40]. Therefore, there is evidence of differences in the attitudes and intentions of fashion consumers by sociodemographic characteristics [51]. The literature review clearly shows the need to understand clothing consumption habits and patterns as a way of inducing more sustainable behaviors, referring to gaps in consumer attitude-behavior and the influence of sociodemographic characteristics on behavior toward the capsule wardrobe, which calls for more research in the future.
Hypothesis 5 (H5). There are differences in personal shopping value (H5.1), involvement with fashion (H5.2), socially responsible consumer behavior (H5.3), ATT (H5.4), and the intention to adopt the capsule wardrobe (H5.5) related to sociodemographic characteristics.
Hypothesis 6 (H6). Having previous knowledge or experience of the capsule wardrobe concept impacts the ATT (H6.1) and the intention to adopt the capsule wardrobe (H6.2).
Conceptual ModelThis study aims to explore the attitudes and intentions of Portuguese clothing consumers regarding using a capsule wardrobe by testing the above-stated hypotheses. The conceptual model in Figure 1 highlights the mediation of the ATT of the relationship between the independent variables PSV, Fashion involvement (FEV), Socially responsible consumer behavior (SRB), and the dependent variable Intention to adopt a capsule wardrobe (INT). Summarizing, our framework combining TRA, BRT, TSV, and LRAT (see Figure 1), positions attitude as the key mediator between antecedents (shopping values, fashion involvement, ethics) and adoption intention, while acknowledging bounded rationality and subjective valuations; this way, we address Schiaroli et al [13] identified gap in cross-theoretical sustainable fashion research.
A quantitative study was carried out based on a structured questionnaire survey with items prepared by the author and items previously validated by published studies, namely from scales by Bang and Su [8], Babin et al. [19], and O’Cass [31]. The items from these scales were translated into Portuguese, and the questionnaire protocol was then established, which also included a section with sociodemographic items and questions regarding the respondents’ previous knowledge and experience of capsule wardrobes. To address potential researcher bias in data interpretation, we employed pre-registered hypotheses [52] to prevent post-hoc theorizing, with all the hypotheses documented prior to data collection. Furthermore, the quantitative analysis incorporated robustness checks, including alternative model specifications (non-mediated relationships), and sensitivity analyses using bootstrapped confidence intervals (5000 samples). These approaches align with align with best practices for minimizing confirmation bias while maintaining theoretical coherence [53]. The questionnaire was distributed via Google Forms to university students, who were asked for support in sharing with third parties, namely through different social networks, thus constituting a snowball process and convenience sample. The response collection period took place between Nov. 1st. and Dec. 10th. 2024. The snowball sampling approach, while practical for reaching fashion-conscious consumers, may introduce selection bias. To mitigate this, we established clear inclusion criteria and sought participants across diverse social networks. The inclusion criteria for participants in the sample consisted only of being of Portuguese nationality and 18 years old or over. All participants were previously informed about the research objectives and were assured of the anonymity and confidentiality of data, accessing the questionnaires only after expressing their consent. The collected questionnaires were validated and processed in SPSS Statistics 29.0.1.0 and SPSS AMOS 29 (Ethics Committee of ERBE 581—Universidade Autónoma de Lisboa (CE12202401)).
Data AnalysisThe data collected were subjected to statistical analysis, where the sociodemographic profile of the respondents (N = 776) and the answers to the questions associated with the constructs of the conceptual model were characterized, resorting to descriptive and inferential statistics methods. For examining age-related differences, a new nominal variable was generated from Age, the Generation group, with four possible values [54]: Generation Z (people under the age of 28), Generation Y/Millennials (under the age of 43), Generation X (under 59 years old), and Baby Boomers (over 58 years old).
An exploratory factor analysis (EFA) was applied with the maximum likelihood method with principal components analysis to the 18 items of the Attitude variable, using an orthogonal rotation analysis (Varimax) to obtain a factor structure for that variable. Sample adequacy was assessed with the Kaiser-Meyer-Olkin value KMO > 0.8; [55], and Bartlett’s test of sphericity p < 0.05; [56]. The factors were determined by establishing Eigen values above 1 [57] and a minimum of three items per factor, allowing for removing items based on communalities (<0.30) and structural loadings <0.40; [58].
A confirmatory factor analysis (CFA) was conducted in SPSS AMOS, version 29, with maximum likelihood estimation applying the corrected value of Satorra and Bentler’s chi-square (χ2 < 3). To evaluate the global adequacy of the model, the comparative fit index (CFI), Tucker-Lewis index (TLI), and the root mean square error of approximation (RMSEA) were used. A model with CFI and TLI ≥ 0.90 and RMSEA ≤ 0.08 is considered adequate and particularly well suited when CFI and TLI ≥ 0.95 and RMSEA ≤ 0.06 [59]; the PCLOSE measure proposed by Browne and Cudeck was also calculated, which tests the adequacy of the model >0.05; [60]. The standardized root mean square (SRMR) measure allowed the adequacy of the model to be assessed, as it translates the average size of the discrepancies between the observed and expected correlations and must present a value below 0.08 [61].
Several multiple linear regressions were run to determine the contribution of each independent and sociodemographic variable to explaining the variance in intention to adopt a capsule wardrobe. The values of asymmetry (−3 to +3) and kurtosis (−7 to +7) were calculated to evaluate the normality of the variable distributions, with the aim of applying parametric tests to determine differences. Convergent validity was assessed through composite reliability (CR > 0.60) and average extracted reliability (AVE > 0.50). Discriminant validity was assessed using the square roots of the AVE values (in all cases, they must be greater than the correlations between constructs). The level of statistical significance was considered p < 0.05. Cronbach’s alpha value (α > 0.7) was used to evaluate the reliability of the instruments. A structural equation model (path analysis) was also used to evaluate the conceptual model, consisting of multivariate techniques of a confirmatory nature [62].
The empirical findings reveal insights into Portuguese consumers' attitudes and intentions toward capsule wardrobe adoption, with significant variations across sociodemographic groups and theoretical constructs. This section presents a comprehensive analysis of the sample characteristics, measurement validation, hypothesis testing, and structural relationships.
Sample CharacteristicsThe sample consists of 76.3% female respondents and 23.7% male respondents (Table 1). The predominant age group in this study is Generation Z, aged under 27 (68.6% of respondents), followed by Generation Y (or Millennials), aged between 28 and 42 (14.4%), followed by Generation aged between 43 and 57 years old (12.2%) and, finally, respondents over 57 years old, or Boomers (4.8%). Most respondents attend or have completed higher education (57.7%). Almost the entire sample (89.7%) declared themselves active.
The vast majority of the sample (82.1%) buys clothing items once a year (Figure 2), with a reduced mean monthly expenditure—53.4% below €50 and 33.1% between €50 and €100 per month (Figure 3). The biggest motivations for purchasing clothing are replacing worn-out clothes (51.3%) and taking advantage of discounts and sales promotions (59%; Table 2). More than half of the respondents declare that they shop for clothing in outlets (50.6%), ready-to-wear stores (55.3%), and online stores (52.7%).
CorrelationsTable 3 presents the Pearson correlations between the items of the variables measured with a Likert scale. All items correlate positively and significantly with each other between the values of r = 0.079 (p < 0.001) and r = 0.923 (p < 0.001). The only exception is the non-statistically significant correlation between item att1 and psv6.
Items FrequenciesTable 4 shows the descriptive statistics associated with the instrument items used in this study: the personal value of the purchase, fashion involvement, socially responsible consumer behavior, ATT, and the intention to adopt a capsule wardrobe.
Measurement Validation Exploratory Factor AnalysisEFA was used with a principal components analysis and Varimax rotation (orthogonal) applied to the 18 items explaining the Attitude and Intention to adopt the capsule wardrobe (Personal value of the purchase, FEV, and SRB). The results of the orthogonal rotation are presented in Table 5, matching the expected three-factor organization; there was no need to remove any items. As such, the EFA confirmed the three-factor structure (PSV, FEV, SRB) with excellent fit (KMO = 0.928, p < 0.001) explaining 75.6% variance (Table 5).
Confirmatory Factor AnalysisA CFA was performed to test the established instrument with the EFA. A model with three factors was found [χ2 (54) = 365.107, p < 0.001], which presents good adequacy according to all indicators: CFI = 0.983, TLI = 0.977, SRMR = 0.052, RMSEA = 0.052 (0.046–0.058; 90% CI), PCLOSE = 0.258.
Convergent and Discriminant ValidityThe internal consistency of the constructs was assessed using Cronbach’s α (Table 6). The composite reliability of all constructs exceeds the threshold of 0.7 (0.876–0.971) proposed by Fornell and Lacker (1981). Convergent validity is also verified since the AVE value of each construct is greater than 0.5. Correlations between constructs do not exceed the square root of AVE, which verifies discriminant validity.
Differences in Fashion Clothing Purchasing HabitsFirstly, differences by demographic characteristics (gender, generation group, level of education, and Occupation) were analyzed in relation to purchasing habits items (sh). No statistically significant difference was found in terms of occupation status or education level. Table 7 presents the results of the Mann-Whitney U test for differences by Gender. In all items, women score higher than men, with the differences in items sh1, sh2, sh3, and sh5 being statistically significant.
Table 8 presents the results of the Kruskal Wallis test for differences by generational group. Young people from Generation Z score higher on items sh1, sh2 and sh5; Boomers score higher on items sh3 and sh4. Millennials systematically score lower than other generational groups on all items. However, the differences between groups are only statistically significant: in item sh4, between Generation Z (MR = 381.03) and Boomers (MR = 486.51, p = 0.002), and between Boomers and Millennials (MR = 368.21, p = 0.012); in item sh5, between Generation Z (MR = 418.48) and Millennials (MR = 296.96, p < 0.001), and between Generation Z and Generation X (MR = 324.55, p = 0.036).
Attitude and the Intention to Adopt a Capsule WardrobeAgain, no statistically significant difference was found in terms of occupation status or education level concerning int, att, psv, fev, and srb. However, the Mann-Whitney test documents statistically significant differences in every variable by Gender (Table 9): women consistently score higher than men, the biggest difference being their involvement in fashion: [FEV (MR = 415.01 vs. 303.21, p < 0.001) and SRB (MR = 408.94 vs. 322.74, p < 0.001)]. Although active respondents always score higher than inactive respondents, the differences are overall smaller than in the case of gender, and there is only a statistically significant difference in the socially responsible behavior factor.
A Kruskal-Wall is test revealed statistically significant differences by generation group (Table 10): in psv, with Generation Z scoring higher (MR = 401.73) than Millennials (329.26; p = 0.021); and in fev, where Boomers scored higher (MR = 430.46) than Generation Z (MR = 389.18; p = 0.013), Millennials (MR = 374.25; p = 0.001), and Generation X (MR = 385.16; p < 0.001). These results, therefore, confirm hypotheses H5.1, H5.2. H5.3, H5.4 and H5.5.
Finally, differences were evaluated in all variables concerning those who already knew the capsule wardrobe concept and who have already used it (Table 11). The results reveal that, in all variables, respondents consistently score higher in the cases in which they already knew the capsule wardrobe concept and in which they had already applied it, with all differences being statistically significant, except for variables psv and fev between the groups that had or had not used the capsule wardrobe concept (Table 11). Consumers who were already aware of the concept scored higher in all variables, except psv, with greater differences for those who did not know the concept in int. These results confirm, therefore, hypotheses H6.1 and H6.2.
Multiple linear regressions were performed in order to determine a predictive model of the dependent variable INT, determining whether the addition of personal shopping value, FEV, and SRB, and then, the ATT, would result in improving such prediction. It was found that there was independence of the residuals, as determined by the Durbin-Watson statistics (1.949), homoscedasticity, and normality. There was no evidence of multicollinearity. As can be seen in Table 12, the final model (Model 3), including gender, education level, occupation, generational group, srb, psv, feb, and att is statistically significant, explaining 66.5% of the variance of the int.
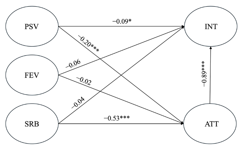
Structural Equation ModelA structural equation model (SEM) was run to test the hypotheses of mediation of the ATT of the relation between psv, fev, and srb with the INT. The SEM demonstrated excellent fit [(χ2 (218) = 594.141, p < 0.001, CFI = 0.982, TLI = 0.977, SRMR = 0.047, RMSEA = 0.047 (0.043, 0.052; 90% CI), PCLOSE = 0.842] (Figure 4). Key paths included SRB→ATT (β = 0.49 ***) and ATT→INT (β = 0.89 ***). However, PSV→INT is low (β = −0.09 *), counterintuitive, possibly due to hedonic shopping conflicts, while FI is not significant. The impacts of PSV and FEV on the INT are also not significant.
The results of the mediation hypotheses (Table 13) reveal that only H3 is supported, that is, that the relationship between SRB and INT is mediated by the ATT. Summarizing:
●
●
●
It is also documented that the ATT has a statistically significant effect on the INT:
●
This study aims to explore the attitude and intention of Portuguese clothing consumers toward the adoption of a capsule wardrobe as a way of contributing to more ethical, responsible, and sustainable consumption. The consistent convergence between our SEM results and prior literature (e.g., SRB-ATT-INT pathway mirroring Bang & Su’s 2022 findings) supports interpretive validity.
Hypothesis H4, which established that the attitude towards the capsule wardrobe had a significant impact on the intention to adopt a capsule wardrobe, was confirmed, replicating the result of the study by Bang and Su [8]. Hypotheses H1, H2, and H3 proposed the mediation of attitude in the relationship between, respectively, the constructs of personal shopping value, fashion involvement, socially responsible consumer behavior, and the intention to adopt a capsule wardrobe. The results document that attitude mediates the relationship between socially responsible consumer behavior and the consumer’s intention to adopt the capsule wardrobe concept, confirming H3 (SRB→ATT→INT), in line with the results reported in the literature by Bang and Su [8] and Fuadah et al. [63], and meeting the expectations set by Mohr et al. [37] and Wang [9]. The strong support for H3 confirms that socially responsible behavior operates through attitude formation, consistent with the TRA [15]. However, the nonsignificant direct effect (β = −0.044) suggests consumers face bounded rationality [16,17] while 89.7% of respondents valued sustainability (Table 2), only 25% had actually tried capsule wardrobes (Table 11). This aligns with Rakib [64], and Vermeir and Verbeke’s [7], who found that ethical attitudes often fail to materialize in concrete actions due to cognitive and contextual constraints.
This study also reveals that H1 (PSV→INT) and H2 FEV→INT) are not supported, in line with Bang and Su [8], suggesting that the impacts of PSV and FEV on ATT are negligible. In particular, it was expected that fashion involvement, translated into the consumer’s interest in actively seeking out and following trends, styles, and novelties in clothing fashion, would lead to a positive and meaningful ATT. The rejection of H1 and H2 possibly reveals a tension between subjective valuations [18]: consumers simultaneously derive hedonic value from fashion involvement (FEV items M = 3.92–4.49, Table 4) while recognizing its environmental costs (SRB items M = 5.35–5.54). This paradox reflects LRAT’s [23,29] premise that intentions are constrained by market structures—evidenced by 59% of respondents prioritizing discounts over sustainability (Table 2).
Younger generations (Generation Z and Millennials—83% of the sample), although manifesting more inclination towards sustainability and involvement with fashion, do not really intend to try the capsule wardrobe concept, as they are used to consuming fast fashion clothes and, especially among younger consumers, to buying lower-priced clothing [41]. This interpretation has been advanced by Pauluzzo and Mason [45] in light of the results of their study on the behavior of Millennials. In the present study, despite the difference not being statistically significant, the older generation (Boomers) scores less on fashion involvement but more on socially responsible consumer behavior and the intention to adopt a capsule wardrobe, in line with the study by DeLong and Bang [43].
The generational findings expose critical accountability gaps. For producers, Gen Z’s high fashion involvement (MR = 389.18) but low adoption rates (INT MR = 388.17, Table 10) suggest fast fashion brands exploit bounded rationality through hyper-trend cycles. This supports Schiaroli et al.’s [13] call for regulatory interventions on production frequency. For policymakers, the 36.3% awareness-to-25% adoption gap (Table 11) mirrors Wang’s [9] slow fashion research, highlighting needs for subsidies to offset capsule wardrobe’s perceived costs (TSV perspective), and education campaigns leveraging ATT’s strong mediation (β = 0.947). For retailers, women’s higher SRB (yet equivalent adoption rates) suggest missed marketing opportunities, namely, through highlighting capsule wardrobes’ self-expression potential (addressing TSV), and offering bundling services (styling consultations) to reduce cognitive effort (BRT).
In the sample, women score higher in all variables, including purchasing habits, with the difference being greater than men in fashion involvement, which aligns with O’Cass [31]. It is also women who score higher in socially responsible consumer behavior, likely influenced by an eco-conscious culture that leads to the consumption of more sustainable clothing, as argued by DeLong and Bang [43]. The occupation of the respondents did not translate into relevant results, nor did the level of education. These results confirm hypothesis H5, although no statistically significant differences exist between groups of all sociodemographic variables except for gender.
Finally, the study analyzed differences in the attitude and the intention to adopt a capsule wardrobe between people who are aware of the concept and those who are not. As expected, consumers who were already aware of the capsule wardrobe concept (or had already used it) were more inclined to try it (or repeat it), confirming hypothesis H6, with greater differences for those who did not know the concept in attitude and intention. A possible explanation is that behavior can be influenced by knowledge and environmental stimuli, in line with Pereira et al. [14] and by previous favorable experiences [23,29].
This study has proposed to review the concept of capsule wardrobe, combining mainstream theories with heterodox analysis, through surveying Portuguese consumers. The study examined the role played by attitude towards the concept of capsule wardrobe, whether it acts as a mediator in the relationship between the personal value of buying clothes, involvement with fashion, and behavior socially responsible behavior of the consumer and the consumer’s intention to adopt the concept; moreover, it explored whether sociodemographic characteristics influence these attitudes and intentions. The literature reports the need for further empirical illustrations to analyze in depth the determinants of capsule wardrobe, like the socio-demographic variables. The present work aims to contribute to reducing such gaps into the scientific literature. So, what is the novelty of this research? The scientific literature related to fashion consumption suggests that adherence to the capsule wardrobe concept may be associated with consumers’ behavior, but without special attention to subjective values (under the Austrian Economics approach) and socio-demographic characteristics, as well as their attitude and consumption behavior, which is more or less socially and environmentally responsible. The essential research question that motivates this work is to explore the attitude and intention of Portuguese clothing consumers regarding adopting a capsule wardrobe to contribute to more ethical and responsible consumption and promote sustainable development (beyond the mainstream homo economicus).
The sample of 776 Portuguese clothing fashion consumers, made up mostly of women and younger consumers, documents socially responsible consumer behavior, especially with regard to the environmental component and the appreciation of sustainability, which is mediated by the attitude toward the adoption of the capsule wardrobe concept. Based on the results, the consumer who exhibits greater involvement with fashion and appears to be more concerned about sustainability is women and the young (Generation Z); however, the conversion of this inclination into the effective adoption of the capsule wardrobe is questionable, as reflected in the mediation model analyzed with SEM. However, the results offer no doubt that the attitude itself is a crucial factor in stimulating consumers in the context of capsule wardrobe adoption.
The findings of this study provide nuanced insights into consumer motivations for adopting capsule wardrobes, while simultaneously revealing critical barriers to sustainable fashion consumption. By integrating heterodox economic perspectives with established behavioral theories, our analysis extends current understanding of the attitude-intention gap in sustainable fashion and highlights implications for stakeholder accountability in the fast fashion industry. The originality of the study relies on integrating heterodox economic theories (TSV, BRT, LRAT) with mainstream behavioral models (TRA) to analyze sustainable fashion adoption—a previously underexplored theoretical synthesis. Unlike prior research focused on rational choice paradigms, we reveal how subjective valuations and cognitive constraints shape the attitude-behavior gap in capsule wardrobe adoption, particularly for Gen Z. Our findings uniquely link stakeholder accountability to bounded rationality, demonstrating that most consumers prioritize discounts over sustainability despite high ethical awareness—a tension demanding industry/policy interventions beyond individual behavior change frameworks.
The critical accountability gaps enhance implications: (i) for producers, Gen Z’s high fashion involvement but low adoption rates suggest fast fashion brands exploit bounded rationality through hyper-trend cycles, supporting a call for regulatory interventions on production frequency; (ii), for policymakers, the 36.3% awareness-to-25% adoption gap supports the need for subsidies to offset capsule wardrobe’s perceived costs and education campaigns; and (iii) for retailers, women’s higher SRB (yet equivalent adoption rates) suggest missed marketing opportunities, namely, through highlighting capsule wardrobes’ self-expression potential (addressing TSV), and offering bundling services (styling consultations) to reduce cognitive effort (BRT).
As a limitation of the study, one can refer to the sample, which, having been obtained for convenience, reveals a relatively low representation of consumers from older generations. While confirming attitude's centrality, our snowball sample overrepresented young, educated women, potentially inflating SRB scores. Future studies should Incorporate objective consumption data to complement self-reports, test interventions targeting specific bounded rationality constraints, and evaluate cross-cultural variations in subjective valuations. The study’s findings collectively demonstrate that achieving sustainable fashion consumption requires coordinated action across stakeholders—from producers rethinking design processes to policymakers creating enabling environments—all while respecting consumers’ complex value systems as revealed through heterodox economic lenses.
The dataset of the study is available from the authors upon reasonable request.
Conceptualization, JM and ASB; methodology, JM and ASB; formal analysis, JM; investigation, JM, ASB and FJS; resources, JM and ASB; data curation, JM; writing—original draft preparation, JM and ASB; writing—review and editing, JM, ASB and FJS; visualization, JM, ASB and FJS; supervision, JM, ASB and FJS; project administration, JM, ASB and FJS; funding acquisition, JM, ASB and FJS All authors have read and agreed to the published version of the manuscript.
The authors declare that there is no conflicts of interest.
This research was supported with personal funds by the coauthors.
This research was supported by the coauthors’ institutions and research groups: Research Center in Economics & Business Sciences (CICEE) at Universidade Autónoma de Lisboa, Higher Institute of Business and Tourism Sciences (ISCET), Grupo de investigación consolidado para el Estudio y seguimiento del ciclo económico de la Universidad Rey Juan Carlos (GESCE-URJC), Grupo de investigación de alto rendimiento sobre Circularidad, Sostenibilidad, Innovación y Talento de la Universidad Rey Juan Carlos (CIRSIT-URJC), Grupo de Innovación Docente consolidado en Tecnologías de la Información y Comunicación y Tecnologías del Aprendizaje y Conocimiento para la mejora de los estudios de Ciencias de la Economía y de la Empresa (GID-TICTAC CCEESS-URJC), Grupo de Innovación Docente consolidado para la Incorporación de los ODS en la Experiencia de Aprendizaje en Economía (GID-ODS EAE) and CIELO ESIC Business & Marketing School.
1.
2.
3.
4.
5.
6.
7.
8.
9.
10.
11.
12.
13.
14.
15.
16.
17.
18.
19.
20.
21.
22.
23.
24.
25.
26.
27.
28.
29.
30.
31.
32.
33.
34.
35.
36.
37.
38.
39.
40.
41.
42.
43.
44.
45.
46.
47.
48.
49.
50.
51.
52.
53.
54.
55.
56.
57.
58.
59.
60.
61.
62.
63.
64.
Magano J, Sánchez-Bayón A, Javier Sastre F. Sustainable and responsible consumption: An investigation of consumer motivations for adopting a capsule wardrobe. J Sustain Res. 2025;7(3):e250044. https://doi.org/10.20900/jsr20250044.

Copyright © Hapres Co., Ltd. Privacy Policy | Terms and Conditions