Location: Home >> Detail
TOTAL VIEWS
J Sustain Res. 2025;7(2):e250022. https://doi.org/10.20900/jsr.20250022
1 Department of Mathematics & Statistics, Texas Tech University, Lubbock, TX 79409, USA
2 Department of Mathematical Science, Kean University, Union, NJ 07083, USA
3 Carey Business School, Johns Hopkins University, Baltimore, MD 21202, USA
* Correspondence: Nancy Asare Nyarko.
This study seeks to advance the theory of dynamic asset pricing by introducing asset valuation, adjusted by environmental, social and governance (ESG) ratings, within a unified Bachelier–Black–Scholes–Merton market model, and developing option valuation in both continuous-time and discrete-time (binomial pricing tree) frameworks. An empirical study based on call option prices for assets selected from the Nasdaq-100 develops implied values for the main ESG parameter in the pricing model. For these stocks, option traders have in-the-money ESG valuations that are lower than the spot price. Within the discrete-time framework, we demonstrate how an informed trader can adopt a futures trading strategy to optimize an effective dividend stream.
Despite initial rejection of the Bachelier model [1], its arithmetic Brownian motion dynamics have found acceptance in certain areas. To combine the strengths of both arithmetic and geometric Brownian motion models, the classical Black–Scholes–Merton (BSM) model [2,3] has been merged with a modernized Bachelier (MB) model [4], producing a unified Bachelier–Black–Scholes–Merton (BBSM) model [5]. Both the unified model and its MB limit allow for price trajectories taking values in R, while, under the BSM limit, price processes take values in R+. Exploiting the more extensive price range of the MB model, [4] developed a dynamic ESG-adjusted valuation (“ESG-adjusted pricing”) for assets, which allows for stocks with low ESG ratings to be given a negative ESG-adjusted value. A critical parameter of the adjusted valuation is the so-called ESG affinity, quantifying the market view of the “size” of the contribution of ESG ratings to asset values.
Consideration of ESG factors in financial modeling marks a paradigm shift in how asset values are assessed. As the world evolves toward a greener future, industry leaders must champion sustainability. (However, see [6] for a study of how sustainability efforts have varied by market). Providing a solid quantitative use for ESG ratings is an important step in the effort to champion sustainability in the financial world.
The use of ESG-adjusted prices alters the investment approach required for long-term investing, enabling ESG-conscious investors to more effectively measure, and (potentially) profit from, ESG strategies. Analyses based on such pricing must be woven into the investment processes of any discerning investor, as well as integrated into the corporate strategy of any company that is truly committed to increasing shareholder value [7].
This paper builds upon the following foundational papers. The work of [8] extended the BSM model to address option pricing in markets with informed traders, incorporating information about stock price direction and expected returns (As ESG-valued assets can take both positive and negative values, their BSM-based model for informed traders cannot be applied to ESG-valued markets). Using ESG-adjusted asset valuation as a motivation and example of the possibility of negative asset values, [4] developed the MB model, which corrects the defaults of previously published Bachelier models. Specifically theMBmodel defines a riskless asset that is theoretically consistent with the arithmetic Brownian motion dynamics of the risky asset and has a risk-free rate whose value can change between positive and negative over time. Additionally the risky asset price will not diverge to infinity if only a positive risk-free rate occurs. Asare Nyarko [9] explored fair valuation of ESG valued options under the MB model. The development of the unified BBSM model [5] thus presents the opportunity to extend ESG-valued markets with informed traders to a broader model which includes MB as one limiting case.
The first goal of this paper is to embed ESG asset valuation within the continuous-time BBSM model (Section 2: EMBEDDING ESG PRICING IN THE BBSM MODEL), placing ESG finance within the broader framework of a unified Bachelier and Black–Scholes–Merton theory. In Section 3 (BINOMIAL OPTION PRICING UNDER THE BBSM MODEL), we embed the ESG-adjusted asset valuation into the BBSM binomial option pricing model of [5].
The second goal is to provide an empirical study of discrete option pricing under the ESG-BBSM binomial model (Section 4: EMPIRICAL EXAMPLES: ESG-ADJUSTED PRICES AND PARAMETER FITTING). Our data set for 16 stocks selected from the Nasdaq-100 is described in Section 4.1 (The Data). Empirical examples of ESG-adjusted prices are presented in Section 4.2 (ESG-Adjusted Prices). In Section 4.3 (Parameter Fits) we describe how to fit the required parameters of the binomial model to empirical data. In Section 5 (THE IMPLIED ESG AFFINITY), using published call option prices for 01/02/2024, we compute implied values of the ESG affinity parameter as functions of strike price and time to maturity. These can then be expressed in terms of an implied ESG valuation (as a function of strike price and time to maturity). Comparing the implied ESG valuation to financial spot prices provides insight into the views of option traders on the impact of ESG ratings on the underlying asset value.
The third goal of this study (Section 6: TRADING FORWARD CONTRACTS UTILIZING INFORMATION ON ASSET PRICE DIRECTION) focuses on a discrete-time, futures trading strategy that can be adopted by an option hedger (the trader taking a short position on an option) who may posses information regarding the future direction of movement of the ESG-adjusted valuation of the underlying stock. While the efficient market hypothesis argues that the direction of the asset price movement is unpredictable [10–18], numerous studies challenge this view and indicate that price direction may, indeed, be predictable [19–33]. As a result, [34–36] and many others have worked on understanding informed trading markets and the strategies employed. We demonstrate that the trader can optimize this trading strategy to produce an effective dividend stream.
Section 7 (CONCLUSION) concludes the paper with a discussion of future directions.
Consider the market (, , ) consisting of a risky asset , a riskless asset , and a European contingency claim (option) . Under BBSM, has the price dynamics of a continuous-time diffusion process determined by the stochastic differential equation
where is a standard Brownian motion on a stochastic basis
of a complete probability space ( ). We assume that ( ) is a complete probability space for all t ≥ 0 [37]. Note that P is a real-world probability measure.
In (1), is the price drift term and is the price diffusion term. The coefficients satisfy , and are -adapted processes. The -adapted processes and are assumed to satisfy the Lipschitz and growth conditions in for ≥ 0 (see Section 5G and Appendix E of [38]). We also require | | ds < ∞ and | | ds < ∞, ∀t ≥ 0 and x ∈ R. To simplify the exposition, we will assume that , , , and have trajectories that are continuous and uniformly bounded on -almost surely (-a.s.).
Lindquist [5] define the appropriate price dynamics of the riskless asset B (any other choice will result in a riskless asset whose dynamics are inconsistent with that of the risky asset) in the BBSM market model as
Again, ∈ R and ∈ R are -adapted processes. The -adapted process is also assumed to satisfy the Lipschitz and growth conditions in , as well as the condition of absolute integrability. To simplify the exposition, we will assume that and have trajectories that are continuous and uniformly bounded on -a.s. The MB model is achieved as the limiting case , while the classical BSM model is the limiting case . For brevity, we adopt the notation , and . We require > 0, -a.s. A necessary condition for no-arbitrage is the requirement that -a.s.
Under the no-arbitrage assumption, the market price of risk is
which is strictly positive -a.s. for all t ≥ 0 providing -a.s.
The option has the price dynamics
where , has continuous partial derivatives and , and is the expiration (maturity) time of C.The option’s maturity payoff is for some continuous function . The risk-neutral valuation of is [5]
where is the equivalent martingale measure and the asset price dynamics under is
In equation (6), , is a standard Brownian motion on the stochastic basis
Consider a published ESG rating (score) [0, 10] for a company at time . Typically the scores are on a zero-to-ten or a zero-to-one-hundred scale. Our data provider, Bloomberg Professional Services, uses the zero-to-ten scale. Rachev [4] argue that bounded scales for an ESG score do not differentiate adequately between the amount of effort that a company must undergo to raise their score above a current value. The amount of effort to raise an ESG score from 0 to 0.5 is trivial compared to the effort required to raise a score from 9.5 to 10.0. They further argue that scores based upon a convex, monotonically increasing function better represent such effort, and that the choice of such a function should be based ultimately on an axiomatic approach. In the absence of such an approach, they proposed the relative ESG measure
where is the ESG rating (score) of company and is the ESG score of a relevant market index . The value of is independent of the range of the scale as long as the range is finite and the same range is used for both and . They further define the ESG-adjusted stock price of company at time t ≥ 0 by
which incorporates ESG scores as part of an asset’s valuation. Here >0 represents the financial price of an asset, while represents an ESG-adjusted valuation, which [4] refer to as the ESG-adjusted price. In our view, this relative ESG score (which, like return and risk-measure, is dimensionless) adds a third dimension to conventional risk - return analysis of dynamic asset prices. In equation (9), is referred to as the ESG affinity of the financial market. The ESG affinity is expected to change slowly with time (see Endnote 1 of [4]). Here we assume it is constant over the both the historical window of prices and the option price maturity times considered.
The ESG-adjusted stock price (equation (9)) can be negative. This is not surprising as the relative score is analogous to any financial ‘spread’. Hence [4] argued that the MB model, rather than BSM, is better designed to capture the trajectories of ESG-adjusted prices. We note the following dependencies of .
From (10a) through (10d), we see that changing the value of only affects the (additional) fractional financial price term , which satisfies | .
Lindquist ([5] , Section 7) developed a binomial option pricing model under the BBSM model. We briefly summarize that model here. Consider a BBSM market (, , ) consisting of the risky asset (stock) , the and call option . The stock price evolves according to the binomial pricing tree
In equation (11), = 0, 1, . . . , = {1, 2, . . .} , is the stock price at time where is the fixed maturity time and > 0. For every = 1, 2, . . . , , are independent, identically distributed Bernoulli random variables with – determining the filtration
of the stochastic basis on the complete probability space .
The riskless asset has the discrete price dynamics
where is the instantaneous rate of equation (3) at times .
Under BBSM, price changes, rather than returns, are of primary interest. Let
Then,
In order that the càdlàg process on the Skorokhod space generated by the binomial tree (equation (11)) converge weakly to the continuous time process (equation (1)), we require that the conditional mean and variance satisfy
where and are the instantaneous mean and variance of equation (7) at time Then and are given by
The option has the discrete price dynamics , =0, . . . , –1. Consider a self-financing strategy, replicating the option price process . The standard no-arbitrage arguments lead to the system
Solution of equations (18b) and (18c) yields
Finally, solution of equation (18a) provides the risk-neutral valuation of the option given by the recursion
where the risk-neutral probability is
The limit = 0 of equation (20) and equation (21) produces the option price recursion relation for the BSM model,
having risk-neutral probability
where is the discrete form of the market price of risk, , in the BSM model (in agreement with [8]). In this limit, the discrete price of the riskless asset obeys, .
The limit µ = 0, produces the option price recursion relation for the [4] Bachelier model,
The risk-neutral probability is (see also [8]),
In this limit, the discrete price of the riskless asset obeys .
The Binomial Model is Not RecombiningA careful analysis shows that the risky-asset asset price process (equation (11)) does not, in fact, form a recombining tree. For a fixed value of , = 0, 1, ..., , the superscripts ( ) and ( ) determine node “level” values at time + 1. For a recombining binomial tree, at time , there are + 1 level numbers. Thus each node on the tree is indexed by a , pair, = 0, ..., , = 1, ..., + 1. With the inclusion of level numbers, equation (11) is written as
where, from equation (17),
Figure 1 illustrates a price configuration on four nodes of the tree, with time and level values indicated. Substituting equation (27) into equation (26) gives
where
Note that , , , and are constants.
For the tree to be recombining, in Figure 1 we must have
With some algebra, the difference
can be shown to be
independent of time or level number. None-the-less, these constant errors propagate multiplicatively along the tree. To ensure that the tree is numerically recombining in our empirical work in Section 4, we define
We note that ϵ vanishes more rapidly than and Δ terms as Δ ↓ 0. However, theoretical work remains to be done to ascertain whether the càdlàg process on the Skorokhod space generated by either equation (11) or equation (33) does indeed converge weakly to the continuous time process (equation (1)). We leave this question open for further investigation. We do note that the BSM and MB limits of the price process (equation (11)) are indeed recombining (binomial) trees whose generated càdlàg processes do converge weakly to the appropriate BSM and MB limits of the continuous time process (equation (1)).
Table 1 provides brief summaries of the 16 companies in the Nasdaq-100 index (^NDX) as of 01/02/2024 that we considered for our empirical study. The stocks were chosen to represent the full range of ESG scores. Adjusted closing prices for the period 01/04/2016 through 01/02/2024 were obtained for these stocks [39] (accessed 01/02/2024). ESG scores for all 101 asset class shares in ^NDX were obtained from Bloomberg Professional Services (accessed 01/02/2024). Bloomberg provides “fiscal year (FY)” ESG scores. On 01/02/2024, yearly ESG scores were available for FY 2015 through FY 2022; scores for FY 2023 had not yet been released. Therefore the ESG scores for FY 2023 were set equal to those for FY 2022. Individual stock weights for the exchange traded fund (ETF) Invesco QQQ Trust (QQQ), were used as proxies for actual ^NDX weights [40] (accessed 01/02/2024). In our view this is a preferable choice for the weights as the ETF is a tradable instrument that is designed to track the ^NDX.
Using the QQQ weights, a weighted ESG score for ^NDX was computed for each fiscal year. Figure 2 shows the resultant fiscal year, relative ESG scores of the 16 chosen companies. Seven of the stocks have positive relative ESG scores over the entire 8 years of data; eight have negative relative ESG scores; and only one, PANW, has an ESG score that increases from below the index value to above. We note that, with the exception of PANW, the change in the ESG score of most companies relative to the index weighted average has remained approximately constant, or decreased, since 2019.
The ESG data were smoothed to provide daily values. Specifically we smoothed the values of . The fiscal year values were assigned to the last day (December 31) of the year (with the ESG score for 01/02/2024 being set equal to the 12/31/2022 value). The daily smoothing, which consisted of two steps: linear interpolation followed by a Gaussian-weighted, moving average smoothing function, provided daily values between 12/31/2015 and 01/02/2024. The linear interpolation produced daily values between successive year end values. The Gaussian-weighted, moving average produced a smoother curve having the property that it produces no data “overshoot” or “undershoot”. Figure 3 shows an example of the smoothing for .
ESG-Adjusted PricesIn Section 5, implied values for were estimated from call option prices, reflecting the view of option traders. However, there is no estimate for values of based upon historical spot trading. In order to investigate historical ESG-adjusted prices, we proceeded as follows. We assumed that the financial price series for each stock over the historical time period 01/04/2016 though 01/02/2024 is a semi-martingale – most probably a Lévy process. Using the historical price series, we computed the time series of ESG-adjusted prices (equation (9)) over the range of parameter values [–5, 5]. This bounding range correlates strongly with our requirement that the signal-to-noise ratio s:n( ) lie within 5% of the value s:n(0); see Table A1.
For each value of , we determined the signal:noise ratio, s:n(), of . Figure 4 shows plots of s:n( ) for four example stocks, illustrating a range of behaviors.
Defining and by
determines a range of values for which s:n( ) lies within 5% of the value s:n(0). If the s:n ratio of the ESG-adjusted price are larger than this range, there is the possibility that the time series will no longer be a semimartingale. This does not imply an assumption that is not a semimartingale if falls outside of the range .
The range found for each stock is given in Table A1 in Appendix A. The ranges vary, sometimes significantly. For the four stocks represented in Figure 4, Figure 5 plots the ESG-adjusted price series for . For PANW, the s:n ratio changes rapidly near = 0, and the range is very narrow. WBD and ASML illustrate that the s:n ratio can remain within 5% of s:n(0) for extended ranges of either < 0 or > 0. The results for AMD are representative of 13 of the 16 stocks for which [–1, 1]. For AMD and ASML, (Figure 2) over the historical time period; as a consequence the ESG-adjusted price increases with . For WBD, and its ESG-adjusted stock price decreases as increases. PANW is the only stock of the 16 companies considered whose ESG score increased from below to above that of ^NDX. The = –0.09 and = 0.09 curves therefore cross each other near the start of 2022 (difficult to visualize in the plot for PANW in Figure 5).
Parameter fitsTo compute option prices using the binomial BBSM model in Section 3, predictive empirical ESG-adjusted prices (equation(11)) were computed assuming constant parameter values. Lindquist [5] (Section 9) suggested (but did not implement) procedures for fitting the parameters of a BBSM model. With minor modification, we follow their suggested procedure for estimating the risky-asset price parameters; we utilize a different procedure for estimating the riskless asset price parameters. The parameter values were estimated from the historical price data, as follows. Express the historical data as the trading dates j = –M + 1, . . . , –1, 0 (M = 2013), where j = –M + 1 corresponds to 01/04/2016 and j = 0 to 01/02/2024. The date 01/02/2024 (i.e., j = 0) corresponds to the date for which option price data was collected and used in Section 5 to compute implied ESG affinity values.
From equation (16) with constant coefficients, the conditional mean and variance of the discrete change in stock price are
The parameters and were obtained using the regression
Using the approximation ≈ , the parameters and were estimated from the regression
With constant parameters, the price dynamics (equation(13)) of the riskless asset has the discrete form
We note that the recursion relation (equation (38)) has the solution . Under the limits 0, such that , where is a constant time, the limit of this discrete solution is , in agreement with the continuous solution to (equation (3)) under constant coefficients.
The parameters ρ and r were estimated from the regression
The sequence of daily values required in equation (39) was generated as follows
where is the three-month U.S. Treasury bill rate, converted to a daily rate. In effect, equation (39) models the evolution of the yield of the three-month Treasury bill [41] (accessed 01/02/2024) using the discrete form ( equation (38)) of the BBSM model riskless rate dynamics (equation (3)).
Finally, we estimated the probability for the upward movement of the daily ESG-adjusted closing price by
where the indicator function satisfies = 1 if > 0 and = 0 otherwise.
From equation (9), for each time t there exists a value such that = 0. Therefore if , a time independent constant over the historical period for which the regression fits equations (36) and (37) are to be attempted, the linear regressions near the value become ill-conditioned and unrealistic parameter fits result. As we utilized an eight-year historical window over which had behaviors similar to that illustrated in Figure 3, this was not an issue.
Figure 6 shows the dependence of the values of the fitted parameters on for ASML and ROST. These are illustrative of the forms of dependence seen in the 16 stocks. In the plots for , the black curve indicates the value of estimated using equation (41). A change in the value of by its smallest increment (±1) as changes is visible as a corresponding jump in the value of . We used a Gaussian-weighted, moving average smoother (with a window of 21 days) to smooth the values (red curve).
In equation (40) the value of only affects the value of . Consequently, in the fit equation (39) we see from Figure 6 that the parameter ρ depends on , while the parameter r is independent of the value . In fact the constant fitted value of is independent of the stock considered, which makes sense as, except for an initial value , equations (40) and (39) depend only on the riskless asset.
Figure 6 shows that, with the exception of , as varies over the range , each fitted parameter varies over a range of values, with the range varying by stock. For each fitted parameter, Figure 7 compares, by stock, the range of values taken on by that parameter. Dotted horizontal lines are used to guide the eye to separate positive from negative parameter ranges, or, in the case of , to indicate stocks having > 0.5. We note that the range for each stock includes = 0 (no ESG price adjustment). Even so, the MB parameters and are consistently different from 0 over the full range (except for for WBD). Thus the parameter fits, even for the financial stock price ( = 0), show an admixture of MB and BSM behavior. The values of and are positive for all 16 stocks; for all values are negative. For , all are negative except for two stocks, NVDA and PANW. Values of are equally divided between positive and negative over the 16 stocks. Values of exceed 0.5 for all stocks except WBD.
Let denote published call option prices for an underlying stock having maturity date , and strike price . Let denote the call option price computed from Section 3 with constant parameters values. Let denote the historical estimation of any parameter . (Recall that, except for , the parameters have dependence on the value of .) Then implied values for are computed via
Based upon call option prices published on 01/02/2024 [39], we computed theoretical call option prices for the same set of strike prices, , and maturity times . In equation (42), the parameters used in the theoretical option computation were fit from the historical data for each value of tested in the minimization procedure. As the value of is independent of the value of and of the stock, theoretically it only needed to be calculated once. However, it is computed from the same regression equation (39) that produces , so it was recomputed for each value of tested. The value used to compute prices on the binomial tree was the smoothed value for 01/02/2024. The published call option prices for AAPL on 01/02/2024 are presented in Figure 8. In all plots, the maturity times T are presented in terms of trading days post 01/02/2024.
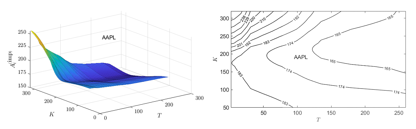
In contrast to some of the other stocks investigated, these option prices form a fairly “regular” surface over the published range of , and maturity times values. The values computed from equation (42) are plotted as a surface in Figure 8. In preparing the final surface shown, triangulation-based nearest neighbor interpolation was used to fill in missing values in the surface. The surface was then smoothed using a Gaussian weighted, moving average algorithm. This smoothing produced relatively minor changes.
Analysis of the surface is enhanced by consideration of surface contours as shown in the bottom left of the figure. The = 0 contour lies between the contours –0.0833 and 0.229, indicating that option traders have a positive view (relative to ^NDX) of the ESG rating of AAPL in the upper left triangular region of out-of-the money (the adjusted closing price for AAPL on 01/02/2024 was $185.64) strike prices and maturity dates not exceeding 110 trading days. However, over the majority of values, the option traders have a negative view of the ESG rating of AAPL.
A further view of the values is presented in Figure 8 as a box-whisker summary of the distribution over the surface. Table A1 in Appendix presents the numerical values of the minimum, maximum, , , and percentiles of the distribution for AAPL. This table also presents the for AAPL based upon examination of historical adjusted ESG prices discussed in Section 4.3. The overwhelming majority of values lie within the for AAPL, giving some confidence that the implied ESG affinity values being computed are consistent with semi-martingale behavior of the associated ESG-adjusted price.
To appreciate the implication of this, we define from equation (9) an implied ESG-adjusted price
where, for a given stock X, is a value from the implied ESG affinity surface, and was the relative ESG score and the spot price price used in computing the surface. Figure 9 presents the surface of values computed from the values of Figure 8. Also shown are contour levels of the corresponding to the analogous contour levels of shown in Figure 8. Whether is larger or smaller than depends on the sign of the product . If is positive, then positive values of correspond to an ESG valuation that exceeds . However, if is negative, then negative values of correspond to an ESG valuation that exceeds . Thus, consideration of the surfaces rather than the surfaces provides direct insight into the views of option traders on the ESG-valuation of stocks.
Since was positive on 01/02/2024, the surfaces of and are identical except for a rescaling of the z-axis. Similarly the contour plots for and are identical except for a rescaling of the value on the contour levels. The negative view of the option traders over most of the (T,K) range for AAPL, results in implied, ESG-adjusted prices for 01/02/2024 that correspondingly fall below the financial price of AAPL on 01/02/2024.
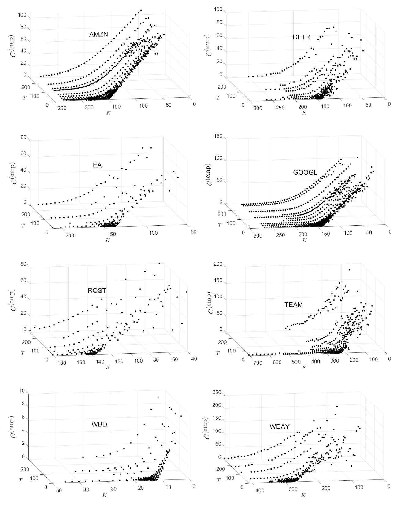
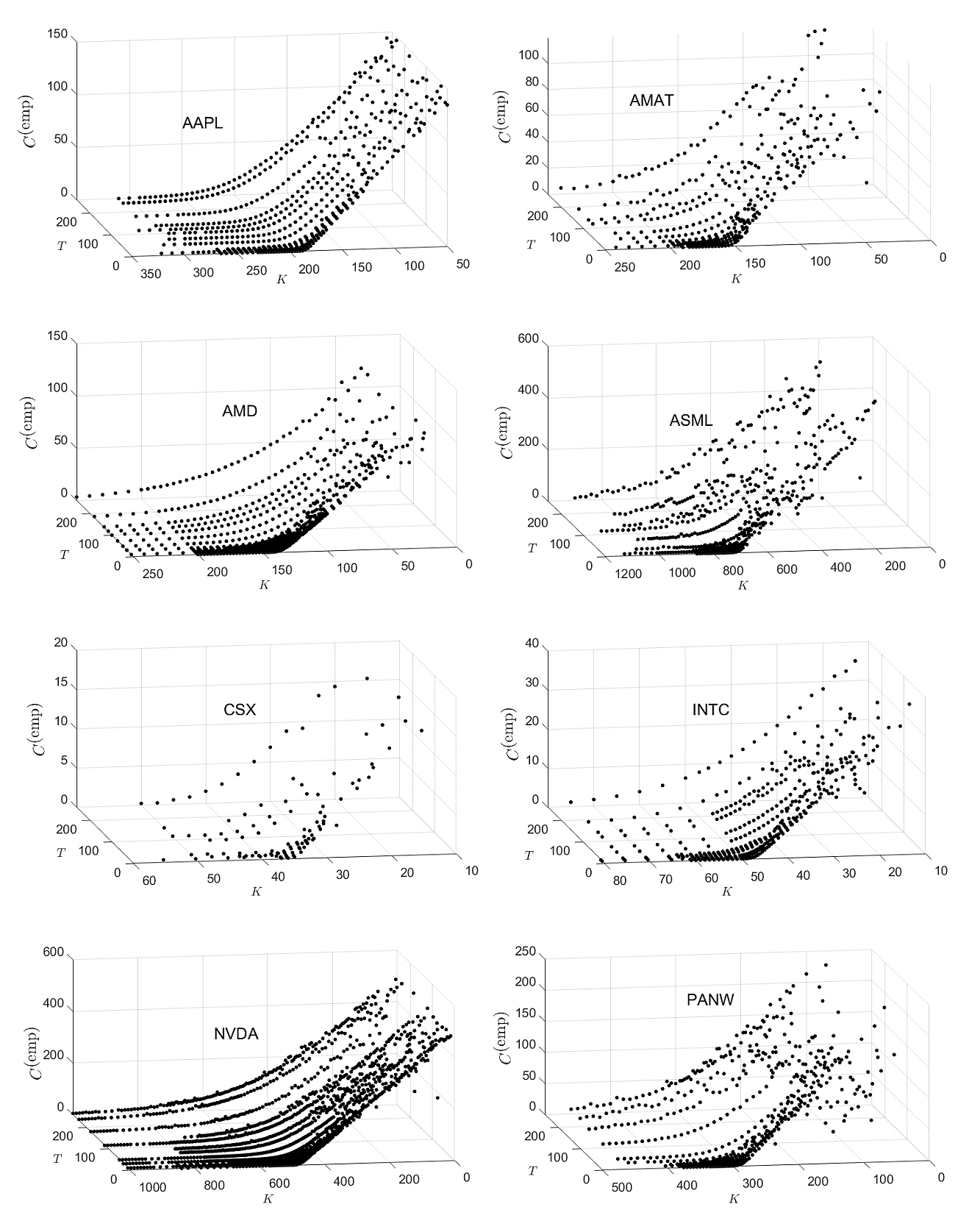
Figures B1 and B2 in Appendix B plot the published option prices on 01/02/2024 for all 16 stocks studied. The eight stocks for which > 0 on t = 01/02/2024 are presented in Figure B1, while the eight stocks for which < 0 are presented in Figure B2. This separation reflects the fact that when > 0, the corresponding surfaces for and will look like identical (rescaled) versions of each other. However, when < 0, the surface will look like an inverted, rescaled version of the corresponding surface. Examination of published option prices for PANW, TEAM, and WDAY show much greater irregularity over the range of K and T values than that shown for AAPL. This results in some corresponding surface irregularity (even after smoothing) in the surface.
Plots of the surfaces for all 16 stocks are presented in Figures C1 and C2 in Section C. The stock organization into two separate figures mirrors that for Figures B1 and B2. Figures C3 and C4 provide the contour plots of these surfaces. Box-whisker summaries of the distributions of values are given in Figure C5. Plots of the surfaces for all 16 stocks are presented in Figures D1 and D2 in Section D. Figures D3 and D4 provide the contour plots of these surfaces.
To summarize the information in Appendices C and D, Figure 10 presents the box-whisker summaries of the distributions of values for each of the 16 stocks.
For ease of reference, the financial spot prices on 01/02/2024 are listed in Table A2. From the contour plots in Figures D3 and D4, one can then ascertain over what region of (T,K) values option traders view the ESG valuation of the stock to be higher than its financial price. For EA, INTC, TEAM and WBD, spot traders have an implied ESG valuation that exceeds the spot price over most of the (T,K) region. For eight of the stocks (AAPL, AMAT, AMD, AMZN, ASML, CSX, NVDA, PANW), the implied ESG valuation exceeds the spot price over a triangular, out-of-the-money, shorter maturity time region as described above for AAPL. For the remaining four stocks, the implied ESG valuation exceeds the spot price over most of the out-of-the-money region. Thus, for 12 of the 16 stocks, option traders have in-the-money ESG valuations that are lower than the spot price.
Hu [8] extended BSM-based binomial option pricing theory to complete markets containing traders that have information on the stock price direction. We further extend that theory using the BBSM-based binomial option pricing in complete markets of Section 3. For simplicity, we assume the parameters in the BBSM binomial model are constant: , and . As earlier, we continue to assume is constant.
Let denote the trader (hedger) holding the short position in the option contract. Let (0, 1) denote the probability that information held by at time , ..., n – 1, on the direction of stock price movement within any interval is correct. If > 1/2, is an informed trader; if < 1/2, is misinformed; and if = 1 / 2, we refer to as a noisy trader. We assume ℵ ’s informed trading actions do not influence market prices.
In [8], Shannon’s entropy (see e.g.,[42,43]) is used to quantify the amount of information possesses. As with the price movement probability of Section 3, is the probability governing a Bernoulli random variable such that = 1 – = . Then Shannon’s entropy is , having maximum value H(1/2) = ln 2. Hu [8] defined ’s level of information as
where
In [8], (44) is written in terms of the information distance
We address the question of ’s potential gain from trading with an information level > 0. At any time , = 0, . . . , – 1, makes independent bets, , = 0, . . . , – 1. Thus, the filtration equation (12) needs to be augmented with the sequence of ’s independent bets
Specifically, relying on the information on stock-price direction, adopts a trading strategy involving forward contracts. For convenience, we label the two scenarios given by equation (11) for the price of :
where and are given by equation (17) with constant coefficients. If at , believes that will happen, takes a long position in -forward contracts, for some . The opposite party to this transaction is a noisy trader. An optimal value for is determined below. The forward contracts mature at . If at believes that will happen, then takes a short position in -forward contracts having maturity .
Lindquist [5] developed the price of a forward contract under the BBSM model. Assuming there is no initial cost to enter into the forward contract and constant coefficients, the -forward price of is
where the constant coefficient solution to equation (3) is (see Equation (A3) of [5])
Evaluating equation (49) using equation (50) gives
Discretizing (51) over the time interval and assuming = 0, equation (51) becomes
For notational brevity, define .
Using equation (11), conditionally on , the payoff possibilities of ’s forward contract positions can be written as
The conditional expected payoff is
with and given by equation (17).
We write
where, , for any finite value of . is referred to as ’s information intensity. Again assuming = 0,
It is sufficient to require terms of to vanish in order to apply invariance principles, such as that by Donsker and Prokhorov, to obtain the continuum limits of this discrete formulation.
Under the same assumption, the conditional variance of ’s payoff is
The instantaneous information ratio is then
As is positive, the information ratio on the payoff of ’s strategy increases: as ’s information intensity increases, and when 1/2. Expressed differently, when 0 or 1, the price movement becomes obvious to all traders and can therefore be “no more informed” than a noisy trader.
To hedge the short position in the option, executes the positions equation (19), while simultaneously running the futures trading strategy. This leads to an enhanced price process for , the dynamics of which can be expressed as
= 0, 1, . . . , – 1, = . The price change of the process (59) is
Conditionally on , and using equation (17),
It is in ’s interest to find the value of which maximizes the conditional Markowitz’ expected utility function,
where ≥ 0 is ’s risk-aversion parameter. Using equation (61), is maximized for
Under the optimal value,
and the instantaneous conditional market price of risk for is
If had not traded futures on the information possessed, the trader’s instantaneous conditional market price of risk would have been the same as a noisy trader
Thus, ′s futures trading results in an (optimized) dividend yield over the time interval determined by the solution of
Thus,
We note that, relative to a noisy trader,
Equality between the first and last terms in equation (69) is obtained for = 0 or = 1 since, under these limits, all traders become aware of the direction of the price movement.
We investigate the dividend payout as a function of and . From equation (64) we note that is a monotonic function of having the limits = 1 and = . Under the limit = 1, which corresponds to sufficiently small values of or sufficiently large values of ,
which is always positive, increasing with and decreasing as increases. Under the limit = , which corresponds to sufficiently large values of or sufficiently small values of ,
In this limit, the dividend payout is essentially independent of .
Dynamic asset pricing based upon geometric Brownian motion [2,3] has had a tremendous’ impact on finance theory. While having had difficulty gaining acceptance, dynamic pricing based upon arithmetic Brownian motion [1] has certain attractive features. The unified BBSM model of [5] encompasses the strengths of both models. By adapting the BBSM framework to a model of ESG-adjusted asset valuation, we put the full strength of the BBSM model to practical use. Using an empirical data set of 16 stocks taken from the Nasdaq-100, based on call option prices for 01/02/2024 we have shown that, generally, option traders were implying ESG-adjusted prices that exceed the spot price in the out-of-the-money region, while in-the-money, ESG-adjusted prices were lower that the spot price. A follow-up study is required to determine how universal an observation this may be. It would be interesting to investigate call option prices issued during periods of bull and bear markets, and during market disruptions.
We have further extended this ESG-BBSM model to consider futures trading strategy accessible to a trader holding information on the direction of ESG-adjusted prices. It would be of interest to evaluate ’s optimal dividend payout by, for example, projecting it forward on the binomial tree and computing an expected dividend at time + . While this could be evaluated for a specific asset, using historical estimated values , and a spot price (with = ), there is no historical information available for , while the parameters and are trader-dependent. Thus, estimates of an expected dividend payout at + require an investigation of a three dimensional phase space - a fairly daunting prospect best left for a separate study.
The dataset of the study is available from the authors upon request from corresponding author.
Conceptualization, STR, WBL; Methodology, WBL, NAN, BD, AS; Formal Analysis, WBL, NAN, BD, PY, AS, STR, FJF; Investigation, WBL, NAN, BD, PY, AS, STR, FJF; Writing—Original Draft Preparation, NAN, AS, BD, PY; Writing—Review and Editing, WBL, NAN, BD, PY, AS, STR, FJF; Supervision, STR, WBL. All authors have read and agreed to the published version of the manuscript.
The authors declare no conflict of interest.
Figure B1 plots the empirical call option contract prices C(emp) as a function of strike price and time to maturity for the eight companies for which > 0 for t = 01/02/2024 while Figure B2 plots the same for the eight companies for which < 0 for t = 01/02/2024.
Figure C1 plots as a function of strike price K and time to maturity T for the eight companies for which > 0 on t = 01/02/2024.
Figure C2 plots for the eight companies for which < 0 on t = 01/02/2024.
Figure C3 plots contours of as a function of strike price K and time to maturity T for the eight companies for which > 0 for t = 01/02/2024, while Figure C4 plots the same for the eight companies for which < 0 for t = 01/02/2024.
Figure C5 presents the box-whisker summaries of the distributions of values for each of the 16 stocks.
Appendix D. Plots of aFigure D1 plots as a function of strike price K and time to maturity T for the eight companies for which > 0 for t = 01/02/2024, while Figure D2 plots the same for the eight companies for which < 0 for t = 01/02/2024.
Figure D3 plots contours of as a function of strike price K and time to maturity T for the eight companies for which > 0 for t = 01/02/2024 while Figure D4 plots the same for the eight companies for which < 0 for t = 01/02/2024.
1.
2.
3.
4.
5.
6.
7.
8.
9.
10.
11.
12.
13.
14.
15.
16.
17.
18.
19.
20.
21.
22.
23.
24.
25.
26.
27.
28.
29.
30.
31.
32.
33.
34.
35.
36.
37.
38.
39.
40.
41.
42.
43.
Nyarko NA, Divelgama B, Yegon P, Lindquist WB, Shirvani A, Rachev ST, et al. ESG Financial Market with Informed Traders within the Bachelier–Black–Scholes–Merton Model. J Sustain Res. 2025;7(2):e250022. https://doi.org/10.20900/jsr20250022

Copyright © Hapres Co., Ltd. Privacy Policy | Terms and Conditions