Location: Home >> Detail
TOTAL VIEWS
J Sustain Res. 2024;6(2):e240016. https://doi.org/10.20900/jsr20240016
1 Urban Planning and Alpine Geography Institute, Grenoble Alpes University, Grenoble 38100, France
2 Department of Tourism, University of Mazandaran, Babolsar 47416-13534, Iran
3 Department of Engineering Management, Politecnico di Torino, Turin 10129, Italy
* Correspondence: Sarasadat Makian.
Tourism is one of the most important economic sectors, necessitating the implementation of various policies to promote sustainable tourism on both local and national scales. This study aims to identify and provide a framework for sustainable tourism development indicators in Kerman, Iran. After reviewing prior studies and semi-structured interviews with 20 tourism professionals, 15 sustainable tourism development indicators were identified and weighed using the Delphi technique. Interpretive-structural modeling was used to analyze interactions between system elements. The findings indicated that tourism operators, stakeholders and tourism-induced activities, poverty alleviation, and land resources are the most influential factors in developing sustainable tourism. These factors are directly associated with the investment and competitiveness of sustainable tourism in Kerman. This study is the first to present a model of sustainable tourism development and related indicators for tourism development in urban destinations in Iran.
Tourism is one of the global economy’s most dynamic and developing sectors, contributing to the socio-economic development of regions and countries [1]. It is a profitable sector with high potential for production and revenue [2], including various economic and scientific disciplines [3], playing a paramount role in achieving sustainable development [4]. The UN 2030 Agenda for Sustainable Development highlights the importance of sustainable tourism development (STD), stating that without it, many destinations will face natural and cultural resource destruction and sociocultural conflicts [5].
Sustainable tourism meets the current needs of tourists and local communities while protecting resources for future generations and managing all resources so that all needs are met without jeopardizing cultural integrity, ecological processes, biodiversity, and life-supporting systems [6]. This means that estimating future intergenerational well-being is essential for assessing the sustainability of alternative development trajectories for tourism [7]. One of the primary challenges facing sustainable tourism is identifying and monitoring the limits of tourism growth [8]. Despite tourism’s numerous benefits, its development would have a detrimental effect on the environment, culture, society, and economy if accurate plans were not implemented, posing challenges and barriers to tourism's future development. As a result, it is critical to consider sustainability issues and concepts when developing tourism activities [9]. Sustainable tourism encompasses economic, sociocultural, environmental, and physical sustainability [10]. While sustainability is concerned with the impacts and operations of tourism development, it also identifies those that significantly negatively impact the physical environment [11]. However, after three decades of research, sustainable tourism remains controversial [12,13].
Regardless of the scale, sustainable tourism has received increased attention [14]. Therefore, there is a need for parameters or indicators to assess the impacts of tourism. Developing indicators is critical for the research and practice of STD [8]. Sustainable tourism indicators (STIs) are one of the most appropriate options to assess achievements toward more sustainable situations, measuring the sustainability or unsustainability of tourism in destinations [6]. The concept of sustainable tourism has little application in urban areas, yet its issues are as relevant in urban areas as in rural areas [15]. The critical role of urban areas in achieving sustainable development is becoming recognized on a global scale.
Meanwhile, negative consequences of urban tourism, such as overcrowding, an increase in existing congestion and air pollution, excessive use of facilities, or conflicts between the interests of tourists and the local community, can be identified in urban areas [16]. Therefore, any policy or strategy for sustainable urban tourism development should start with the needs and desires of the people and align with the principles of sustainable development [17]. Systematic analysis of the level of tourism sustainability in each tourism destination is necessary to assess the current situation and propose solutions and policies to promote sustainability and progress toward a more favorable situation. In this sense, the identification and use of STIs are critical components of each urban destination’s planning and management processes [18].
With a historical background and as the entry point for civilization in eastern and south-eastern Iran, the city of Kerman is one of the central axes of development in the Iranian urban outlook for 2021, intending to attract domestic and international tourists [19]. Kerman boasts a thriving cultural heritage, deeply rooted in its traditions, customs, religion, and numerous historical sites, which presents an excellent opportunity for sustainability and tourism development [20]. Sustainable tourism can be achieved with proper planning by acknowledging the current situation and limitations of tourism development in this city.
Identifying STIs is necessary to conduct a detailed assessment of the adequacy or inadequacy of Kerman’s city in providing a tourism policy framework and its economic, social, and environmental consequences. Given the significance of STD in urban areas, the study’s objectives are to (1) identify the most critical STIs for Kerman and (2) establish cause and effect relationships between the identified indicators. This study uses ISM techniques to identify and prioritize the factors affecting STD in Kerman and the relationships between them. This study examines the sociocultural, economic, environmental and physical factors that affect sustainable tourism to provide a comprehensive future vision for tourism planners and policymakers in Kerman on how sustainable tourism can be achieved.
Literature ReviewNumerous societal and urban development problems and needs have transformed cities into attractive tourist destinations [17]. A noticeable increase in tourism activities in urban areas can be observed. Despite having several positive consequences, the uncontrollable expansion of tourism-related activities has resulted in numerous negative impacts. Crowding, congestion, waiting times at tourist attractions, emissions, and pollution are all negative consequences of uncontrolled tourism development in urban areas, endangering the environment, heritage, social and cultural values, and residents’ quality of life [21].
Meanwhile, sustainable tourism can play a critical role in identifying ways to secure positive benefits while adhering to established regulatory and development control frameworks [22]. It considers current and future impacts (economic, social, environmental and physical) and satisfies the diverse needs of tourists, industry, local communities, and the environment [17]. Additionally, sustainable tourism aims to strike a balance between environmental protection, cultural integrity, social justice, and economic benefits while also meeting the needs of the host population in terms of improved living standards in the short and long term [22]. Regarding urban areas, Sara stressed the importance of environmental, social and institutional approaches in managing urban spaces to achieve sustainability by promoting a green agenda and focusing on environmental management [23].
While sustainable tourism is a widely recognized concept among policymakers from public and private organizations at all levels of governance, there are still many gaps in our understanding of its development, particularly in terms of implementation [15]. It entails both the sustainable growth of tourism’s economic and social contributions and the sustainable use of resources and the environment, most of which can be accomplished through thoroughly understanding and managing tourism demands in urban areas [22].
One of the main obstacles to sustainable tourism is the difficulty in measuring sustainability in urban destinations, which affects decision-making, effective management, and the capacity of those destinations to meet their needs [21]. Indicators are critical for destinations seeking to advance to more STD. They help overcome the challenge of implementing sustainable tourism principles and policies in real-world contexts. They make STD tangible and objective using observable variables [24].
Several studies on sustainable tourism development indicators (STDIs) have been conducted at destinations worldwide (e.g., [25,26]). [27] investigated the factors affecting the sustainable development of Vietnam tourism to better understand the relationships between the influential factors, arguing that seven factors have the highest impact on developing sustainable tourism in Vietnam: social participation, government managerial competence, tourism service quality, human resource quality, infrastructure development, tourism facilities, and resources. [28] also discussed the state of sustainable tourism in Dubrovnik, Croatia, demonstrating the utility and suitability of monitoring tourism development over time and space by using sustainability indicators. Government entities, associations, and communities should provide assistance to business owners to facilitate their investment in and utilization of environmental possibilities.
[29] believed that some non-economic (e.g., the effect of tourism on community activities) and independent economic variables (e.g., the impact of tourism on job creation) estimate community support for sustainable tourism development. Analyzing factors influencing STD in Vietnam showed that the government should increase investment to improve Vietnam’s competitiveness. Investment in infrastructure has become an essential factor for tourism, mainly to provide the necessary conditions for attracting more tourists, improving local infrastructure, and facilitating tourism service development [30]. Additionally, the [26] study’s findings highlighted the critical role of STDIs in tourism planning in Taiwan and the importance of stakeholder engagement and collaboration.
As an emerging country, Iran needs to establish effective indicators for implementing sustainable tourism [31]. However, the country faces major challenges in achieving STD, including policy-making [32]. Sustainable tourism indicators (STIs) enable policymakers to assess the sustainability of a destination and track its evolution over time, activating policy intervention and management response. These indicators serve as a baseline for assessing conditions and needs, establishing policy objectives, evaluating actions, and modifying policies [33]. However, according to a review of the literature conducted by [34], there are very few studies on STIs in Iran.
Thus, the ISM-DEMATEL hybrid method was used without making any assumptions about the relationships between the variables to identify critical indicators for STD while considering Kerman’s current tourism development situation. Prioritizing factors was performed using the ISM method, and quantitative relationships between factors were prioritized and intensified using the DEMATEL method [35]. This study established a practical framework for determining the sustainability of tourism development in urban areas by examining the quality of human and natural systems. Employing a hybrid approach increases the possibility of developing advanced decision-support tools to deal with real-world decisions' complexity. As a result, the combined ISM-DEMATEL method enables both methods simultaneously [36].
Study AreaKerman is Iran’s largest province, accounting for 11% of Iran’s total area [37]. The city of Kerman, the capital of this province, was selected for this study. Kerman is one of Iran’s historical and cultural cities, with a land area of 14,000 ha and a population of 537,718 in 2016 at an altitude of 1755 m above sea level (Figure 1) [38]. The city’s topography is diverse, with mountains to the north and deserts to the east and west. Additionally, the presence of hills in the city has aided in designing highly attractive public spaces.
Meanwhile, as one of Iran’s ancient cities, Kerman has monuments dating back over 2000 years. Its urban identity was influenced by Islamic and Eastern architecture [39]. Kerman’s historical attractions include castles, caravanserais, reservoirs, baths, and mosques, most of which date from the Islamic era, including the historical bazaar of Kerman, Ganjali Khan, Ibrahim Khan, and Vakil complexes. Apart from historical and cultural monuments, various natural attractions, such as caves and historical and natural gardens, can attract national and international tourists [40].
MethodologyVarious mixed methods have been used because of the nature of the subject. Qualitative data were collected using literature review and semi-structured interviews, while quantitative data were collected through weighted Delphi questionnaires and analyzed using the ISM-DEMATEL approach.
By reviewing previous studies and semi-structured interviews, sustainable tourism factors and components (economic, sociocultural, environmental, and physical) were identified. Twenty experts from the statistical population were selected from the field of study using the snowball sampling method. After identifying the initial factors, questionnaires were distributed among experts. Based on the Delphi sessions, experts were asked to rank and examine the conceptual relationships between the factors. Content validity was used to assess and validate the questionnaire. The questionnaire was handed to several experts with the necessary corrections.
After identifying the factors affecting the STD in Kerman, the effectiveness and impact of the factors on each other were investigated and stratified using the combined ISM-DEMATEL. This study developed a structural framework to integrate and utilize the ISM and DEMATEL methods to discover the causal-effect relation and its interrelation [41]. ISM and DEMATEL are the most efficient, robust tools, helping to understand the relationships among the criteria and provide an effective solution based on decision-making [42]. The ISM method can only fill in binary options, such as 0 and 1, among the variables representing cause-and-effect relationships between factors. In contrast, DEMATEL can fill in additional options, such as 0, 1, 2, and 3, to capture cause-and-effect relationships [43]. The integration of ISM and DEMATEL methods has been applied in different fields, such as tourism and new product endorsements, to obtain better results [44,45].
The present study used the DEMATEL technique to determine the patterns of causal relationships between major variables [46]. This technique can reveal the directional relationships between complex variables [47]. Using this approach, experts can express their views more confidently regarding the direction and magnitude of the effects between variables. The matrix obtained from the technique shows causal relationships between factors and the effectiveness of variables [48]. ISM is a highly effective qualitative tool in various fields and a suitable technique for analyzing the impact of one element on other elements, enabling overcoming the elements’ complexity [49]. ISM utilizes the expert’s judgment’s subjective nature more efficiently, offering flexibility to improve an expert’s vague judgment [47]. In this study, we followed the general model of the hybrid ISM-DEMATEL approach, as shown in Figure 2.
The Delphi technique is a structured process that uses a series of questionnaires or rounds to collect information [50]. It is based on the assumption that multiple thoughts are preferable to a single one, involving a group of experts reaching a consensus on a specific issue by expressing their viewpoints [51]. This research technique involves several rounds of discussion among experts unfamiliar with one another, and a consensus on a topic [52]. However, three steps are often sufficient to gather information and reach expert consensus. However, in some cases, the fourth step, including questions and answers, is needed [53]. Following each round, the results were calculated based on the group’s judgment statistics and used in subsequent periods. Table 1 summarizes the participants in the Delphi panel, which includes individuals with different specialties related to tourism development.
DEMATEL TechniqueThe matrix obtained from the DEMATEL technique shows a causal relationship between the factors and the effectiveness of the variables. The steps are as follows:
Step (1) Calculate the direct connection matrix: Expert opinions were gathered and quantified. When several experts’ perspectives were combined, the simple arithmetic mean of the comments was used to create the direct correlation matrix or X (see Table 2).
Table 2. DEMATEL Technique (Source: [54]).Step (2) Calculate the normal direct connection matrix: The sum of all rows and columns was calculated to normalize. The largest number of rows and columns is k. All table values were multiplied by the inverse of this number to normalize the matrix.


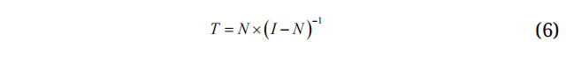
Step (3) Calculate the complete direct connection matrix: The same matrix (I) was first created to calculate the complete correlation matrix. Then we normalized the same matrix minus the matrix and inverted the resulting matrix. Finally, we multiplied the normal matrix using the inverse matrix:

The resulting matrix will be used as input to the ISM technique.
ISM ModelWe followed the ISM stages to identify the factors influencing Kerman’s sustainable tourism development:
Step (1) Making ISM: To create a Structural Self-Interaction Matrix (SSIM), it is necessary to examine the identified factors in pairs and determine the nature of their relationships. The symbols V, A, X, and O indicate the type of relationship between the factors to construct the SSIM matrix after the relationship between the two elements has been determined.
●
●
●
●
Step (2) Create an access matrix: We converted the assigned letters to zero and one using a series of rules. The following rules need to be applied when converting an SSIM into an availability matrix:
●
●
●
●
After creating the initial access matrix, it is necessary to examine its transferability property. Transferability implies that if factor i affects factor j and factor j also affects factor K, factor i will affect factor K.
Step (3) Separation of factors into different levels: The ISM model has a bottom-to-top effect. To determine these factors, the following variables must be defined:
●
●
●
These factors are classified such that any element with the same set of accessibility and sharing is placed at level 1. Then the mentioned element was removed from the set of factors and this process is done for other factors to level all the factors. This operation was repeated so that all factors were separated into different levels. In addition, in Table 3, the types of relationships of the following variables are determined based on the signs in Table 2.
Research FindingsSTD factors were chosen after reviewing the literature and conducting semi-structured interviews. The following 15 factors were selected, evaluated, and finalized based on the opinions of experts in the city of Kerman to be considered as STIs for tourism development purposes. These factors were chosen from a larger set of options and deemed most compatible with the city's specific needs and goals. Table 4 summarizes these STDIs in terms of multiple dimensions (economic, sociocultural, environmental, and physical).
Identifying and Determining the Relationships between Sustainable Tourism Development Indicators in KermanThe next step was to identify the causal relationships between the indicators of STD. To reflect the internal relationships between the primary criteria, the DEMATEL technique was used. The experts agreed on the direction and magnitude of interactions between factors. Therefore, a communication matrix or X was created. In Table 5, the matrix of direct correlations is shown.
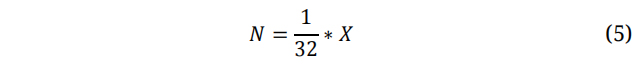
The largest number is 32, and all table values are normalized by multiplying them by the inverse of this number.


The following equation was used to convert a normal matrix to a complete correlation matrix (See Table 6). In this regard, (I) represents an Identity Matrix.

A complete correlation matrix can reveal a great deal of information. The sum of each row element (D) indicates how one factor influences other factors in the system. On the other hand, the sum of each column element indicates how that factor is affected by other factors in the system. Figure 3 shows the Cartesian coordinate diagram based on the effectiveness of the research variables. The horizontal vector (D + R) indicates the degree of influence of each factor in the system, whereas the vertical vector (D − R) indicates the strength of each factor’s influence. D − R is considered a causal variable if positive and an effectual variable if negative.
SSIM of Sustainable Tourism Development Indicators in KermanAfter identifying the dimensions and factors of sustainable tourism, they were included in SSIM. For this purpose, we designed a questionnaire; in the first row and column of the table, respondents were asked to identify two-way communication between the factors. SSIM suggests that expert opinions gathered through various management techniques such as brainstorming, nominal groups, and others be used to develop content relationships between variables. Therefore, the SSIM was formed using four modes of conceptual relationships and was completed by 20 experts based on the final output of the DEMATEL technique with consideration of the tolerance threshold. The obtained information is based on the summative ISM and the final SSIM (see Table 7).
The resulting matrix (internal communication matrix) shows the causal relationship between the factors and effectiveness of the variables. In this study, after identifying the dimensions and indicators, the relationships between the dimensions and indicators identified using the conceptual relationship “lead to” are analyzed.
Determining Relationships and Leveling Dimensions and IndicatorsA set of outputs and inputs for each criterion must be extracted from the received matrix to level criteria. The set of outputs includes the criteria and the criteria that affect them. The set of inputs includes the criteria themselves and the criteria that affect them. Then, a set of bilateral relations of criteria was determined (see Table 8).
Tourism operators, stakeholders, and tourism-induced activities (D01), poverty alleviation (D04), and land resources (D11) were the first-level variables. After identifying the first-level variables, they were deleted, and the set of inputs and outputs was calculated without considering the first-level variables. A standard set of identifiers and variables whose share was equal to the input were selected as second-level variables. The second-level calculations in the ISM hierarchy are listed in Table 9.
According to the second-level calculations in the ISM hierarchy, investment variables (D02) and competitiveness (D03) were the second-level variables. For the third-level elements, the second-level variables were deleted, and the set of inputs and outputs was calculated without considering the second-level variables. According to the third-level calculations in the ISM hierarchy, variables of locals and non-locals employment in seasonal activities, development of accommodations and facilities, increasing awareness of tourists and host community, participation and solidarity (D05 to D08) were third-level variables (see Table 10).
To determine the fourth-level elements, the K variable was removed. Based on the set of new inputs and outputs, the pollution (D12) and environmental awareness (D13) variables were selected as the fourth level elements (see Table 11).
The identified variables of the fourth-level were removed to determine elements of the fifth-level. Therefore, the two variables, D09 and D10, were selected as fifth-level elements. The two variables of land-use change due to tourism activities (D14) and the dependence of government agencies on revenue from land-use change (D15) were selected as sixth-level elements. The final patterns of the levels of the identified variables are shown in Figure 4. In this figure, only the meaningful relations of each level element with the lower-level elements and the meaningful internal relations of the elements of each line are considered.
In this model, only the relevant relationships of the elements of each level with the elements of the lower level and the meaningful internal relationships of the elements of each level were considered. Tourism operators, stakeholders, tourism-induced activities, poverty alleviation, and land resources (D01, D04, and D11) are the first-level and most fundamental variables for assessing and evaluating the sustainability of the Kerman tourism industry. The indicators of investment and competitiveness (D02 and D03) as independent factors have a causal impact on each other. Following these relationships, variables of local and non-local employment in seasonal activities, development of accommodations and facilities, increasing awareness of tourists and host community and participation as linkage factors (D05 to D08) are affected mainly by upper and lower indicators. Pollution and environmental awareness (D12 and D13) both have a causal impact either on social security and welfare, the satisfaction of tourists and the host community (D10 and D09) and land-use change due to tourism activities and dependence of government agencies on revenue from land-use change (D14 and D15) respectively.
To develop sustainable tourism in Kerman, it is necessary to identify the leading, most effective indicators and establish a relationship with them. As a result, the current study aimed to identify influential internal and external factors in creating a STD framework for Kerman’s urban tourism planners and policymakers. The current research provides tourism urban planners and managers with a more fundamental decision-making authorities at lower risk while systemically addressing Kerman’s STD situation by considering the model developed in this research (Figure 4). Such analysis enables a more in-depth understanding of long-term planning, which can be considered a tool for developing systematic models for Iran’s future tourism sustainable development [55].
Over the decades, the concept of sustainability has evolved from an environmental concern to a socio-political one to achieve positive economic and social benefits [56], which, in more complex environments, such as tourism, must be interfaced with the complexities of the environment and culture [57]. On the other hand, assessing the ecological efficiency of tourism is essential to evaluate the impact on the local ecological environment while promoting economic development, creating a solid foundation for sustainable development [58]. Identifying the most effective indicators for improving STD enables policymakers to reveal a more targeted information structure and avoid overlooking certain factors. For this reason, the present study was conducted to identify the factors affecting the evaluation of STD in the city of Kerman. The Delphi technique was used to compile and weigh 15 propulsion factors based on the opinions of tourism experts. The obtained data were then analyzed using ISM to determine the interactions and relationships between system elements.
The comparison of previous and current studies reveals that, among tourism research, the results of [29] in the economic dimension and employment indicator, and [30] in the investment and competitiveness dimension for accommodating tourism facilities, are consistent with the current study’s findings. According to findings, indicators such as tourism operators and stakeholders, tourism-induced activities, poverty alleviation, and land resources are the most significant factors in developing sustainable tourism in urban areas. While politicians and planners for STD are concerned with the growth of this industry, they are less concerned with tourism's impact on poverty reduction in urban areas [59].
Tourism has a negligible effect on poverty alleviation. However, it must be acknowledged that contemporary approaches such as pro-poor tourism have significantly contributed to establishing a direct link between tourism and poverty reduction due to the host community’s demands and needs [60]. The study revealed that poverty reduction should be included in the city’s welfare development plan to achieve a better life for those affected by tourism-induced jobs. This variable results from tourism researchers’ lack of expertise in various aspects of poverty alleviation [61]. Poverty alleviation entails income inequality and miscommunication in conveying society’s demands and needs, resulting in deprivation of public welfare [62]; this can have devastating consequences and lead to development imbalances. Addressing these demands in creating jobs affected by tourism creates a more logical integration in the context of STD in urban areas.
Participation has many direct and positive impacts on the poor classes of society [60,63]. Local participation is conceivable because it can create more balanced and significant economic opportunities for the local community and the host and shift the community’s threshold and positive behaviors toward sustainable tourism principles [64]. As the third loop of decision-making variables, land resources are natural resources provided by the environment that can develop into tourist attractions over time with proper and practical planning. Due to its natural, historical and cultural attractions, the city of Kerman has not yet proven its superiority in competitive market. Strategies associated with or connected to local resources in terms of availability and distinctness [65], such as agritourism [66] and rural tourism [67] help urban destinations compete in a competitive market.
Although tourism policymakers and managers have a wealth of knowledge, they often fail to meet the host community’s real needs. The solution to this problem is to pay careful attention to stakeholders’ perspectives in urban areas with a low level of development [61]. The findings indicate that the two factors of competitiveness and investment are causally related. Concentrating exclusively on one affects the other. If sustainability planners collaborate closely with private investors to meet the needs of deprived regions [60], they can eventually eliminate public poverty.
The absence of a method to quantify and mitigate the impact of tourism jeopardizes the future viability of urban areas. These indicators assist managers in preventing or minimizing the occurrence of relevant problems. STDIs assist urban destinations in determining the effectiveness and efficiency of management activities and establishing a framework for collecting data necessary to protect and permit the continuation of tourism activities. A regular sustainability monitoring will be an appropriate tool for estimating the effectiveness of management policies, plans, and strategies and the applicability of sustainable tourism management [68].
This study comprehensively analyzed the factors affecting Kerman’s assessment of sustainable tourism at the first and second levels. As previously stated, the strength of such research stems from the results of intra-systemic relationships in interactions between tourism stakeholders. The identified indicators have the greatest impact on other factors affecting sustainable tourism development and are relatively independent. Therefore, identifying and comprehending the factors that influence STD will aid in accurately mapping Kerman’s future vision. Additionally, understanding the dynamism of these factors can assist in the regulated and sustainable development of tourism in Kerman now and in the future.
ImplicationsOne of the significant implications of this study is the final model created based on the results, which is a model of STDIs in urban areas (see Figure 4). By considering the relationships between identified variables and their influence, urban planners and policymakers can achieve STD through scenario planning, enabling tourism managers and decision-makers to practice the future and be better prepared for potential consequences [69]. This is the first model to develop sustainable tourism for urban areas in Iran.
Limitations and Future ResearchWhile it may not be practical to directly implement intricate statistical models in every policy situation, the knowledge acquired from our analysis can contribute to broader conversations and assist policymakers in comprehending the fundamental dynamics of sustainability concerns in Iran. One of the methodological constraints of this study is that the relationships between the variables depend on the expertise of experts on the subject under study because their judgment will affect the final result. There is a need to address other analytical models in future research on STD in urban destinations. This study research methodology can be used to analyze other elements of the tourism industry system, including understanding the relationships between tourism development drivers. Researchers can study each factor separately and advance strategic goals in STD. Additionally, according to [7], individuals tend to be in a poor position to judge their own present and future well-being. Therefore, an essential element of sustainability research and practice is the recognition of the potential effects of current development activity on the future well-being of residents; This issue should be addressed in forthcoming research endeavors.
The dataset of the study is available from the authors upon reasonable request.
LJ designed the study, collected and analyzed the data. AHQ assisted with writing the results and discussion. SM wrote the paper with input from all authors and prepared the manuscript.
The authors declare that there is no conflict of interest.
1.
2.
3.
4.
5.
6.
7.
8.
9.
10.
11.
12.
13.
14.
15.
16.
17.
18.
19.
20.
21.
22.
23.
24.
25.
26.
27.
28.
29.
30.
31.
32.
33.
34.
35.
36.
37.
38.
39.
40.
41.
42.
43.
44.
45.
46.
47.
48.
49.
50.
51.
52.
53.
54.
55.
56.
57.
58.
59.
60.
61.
62.
63.
64.
65.
66.
67.
68.
69.
Makian S, Jalalabadi L, Qezelbash AH. Identifying Sustainable Tourism Indicators of Urban Destinations in Developing Countries Using DEMATEL-ISM. J Sustain Res. 2024;6(2):e240016. https://doi.org/10.20900/jsr20240016

Copyright © 2023 Hapres Co., Ltd. Privacy Policy | Terms and Conditions